基于色彩斑块杜鹃林美景度景观分析及评价模型研究
(1中南林业科技大学,湖南长沙410004;2湖南省植物园/国家林业草原杜鹃工程技术研究中心/湖南长株潭城市群森林生态系统国家定位观测研究站,湖南长沙410004)
摘要:借助景观格局指数,以大围山国家森林公园中的杜鹃林为研究区域,通过改变杜鹃林灰绿色斑块面积、主色彩斑块面积、斑块聚集程度、最大主色彩斑块面积的空间格局变化设计出景观效果图,然后利用SBE美景度评价法对其进行评价分析,探讨色彩斑块变化对杜鹃林春景质量美学的影响,构建能够提升杜鹃林景区景观质量的评价模型。结果表明,灰绿色色彩斑块、主色彩斑块面积、斑块聚集程度和最大主色彩斑块面积对景观质量均存在影响。
斑块数量(NP)、斑块密度(PD)、景观形状指数(LSI)、周长面积分维指数(PAFRAC)、蔓延度(CONTAG)、相似邻近百分比(PLADJ)、聚集指数(AI)这7个斑块指数与美景度具有显著相关性。影响杜鹃林林外美景度景观指数排序大小为:PD>NP>AI>PLADJ>LSI>PAFRAC>CONTAG;NP、PD、LSI、LPI、PLADJ、AI景观指数对主色彩斑块面积变化有显著影响,AI指数对斑块聚集程度产生显著影响。最后得出杜鹃林景区景观质量的评价模型F1景观斑块性状指数和F2景观格局分布指数,公式为:F1=0.201NP+0.199PD+0.268LSI+0.258PAFRAC-0.225CONTAG,F2=0.518PLADJ+0.518AI。
斑块数量(NP)、斑块密度(PD)、景观形状指数(LSI)、周长面积分维指数(PAFRAC)、蔓延度(CONTAG)、相似邻近百分比(PLADJ)、聚集指数(AI)这7个斑块指数与美景度具有显著相关性。影响杜鹃林林外美景度景观指数排序大小为:PD>NP>AI>PLADJ>LSI>PAFRAC>CONTAG;NP、PD、LSI、LPI、PLADJ、AI景观指数对主色彩斑块面积变化有显著影响,AI指数对斑块聚集程度产生显著影响。最后得出杜鹃林景区景观质量的评价模型F1景观斑块性状指数和F2景观格局分布指数,公式为:F1=0.201NP+0.199PD+0.268LSI+0.258PAFRAC-0.225CONTAG,F2=0.518PLADJ+0.518AI。
风景林在景观上具有极高的美学价值,它能满足人们对景观的审美需求,同样也是城市自然地貌景观的重要组成部分,主要目的是为了美化环境、维护城市自然生态区和景观保护[1]。人们观赏风景林时的第一要义便是视觉,这时色彩便是人们对此事物的“第一视觉”。湖南省大围山国家森林公园位于湖南省浏阳市东北部,山顶有万亩野生杜鹃林,因其色彩艳丽、品种繁多等特点吸引游客前来观赏[2]。
杜鹃形成的植物群落不仅观赏价值高,且可极大地丰富景观色彩,在国内风景林景观设计方面运用颇多,所形成的色彩斑块也是风景林林外景观质量的重要影响因素[3]。现如今风景林景观色彩的研究较少,有关色彩分析评价、色彩配置等方面的研究不全面[4]。针对这一问题,基于色彩斑块配置设计、景观格局指数以及美景度评价对大围山杜鹃林进行进一步研究,争取找到杜鹃林景观提质的最佳方案,构建能够提升杜鹃林景区景观质量的评价模型。
杜鹃形成的植物群落不仅观赏价值高,且可极大地丰富景观色彩,在国内风景林景观设计方面运用颇多,所形成的色彩斑块也是风景林林外景观质量的重要影响因素[3]。现如今风景林景观色彩的研究较少,有关色彩分析评价、色彩配置等方面的研究不全面[4]。针对这一问题,基于色彩斑块配置设计、景观格局指数以及美景度评价对大围山杜鹃林进行进一步研究,争取找到杜鹃林景观提质的最佳方案,构建能够提升杜鹃林景区景观质量的评价模型。
1研究区概况
研究区位于湖南省浏阳市大围山自然保护区,气候条件差异大,土壤和植被的垂直地带性明显,植物群落丰富,森林覆盖率在95%以上。以杜鹃(Rhododen-dronsimsiiPlanch.)、湖南白檀[Symplocospaniculata(Thunb.)Miq.]、水马桑[Merremiahederacea(Burm.F.)Hall.F.]、中国绣球(HydrangeachinensisMaxim.)、圆锥绣球(HydrangeapaniculataSieb.)植物为主,其中杜鹃的分布面积最大,是大围山森林公园观赏性最高、最具特色的自然景观之一。
2研究方法
2.1样地设置与调查
对大围山杜鹃林景区进行过全面调研拍摄后,随机选择杜鹃林3个观景点进行样地调查。根据实际调查情况,设置样地面积为20m×20m,重复3次。分别测量样地的经纬度、海拔、坡向、坡度、郁闭度等情况。
2.2样地照片拍摄与评判者选取
此次研究区域是大围山国家森林公园杜鹃林景区,选择杜鹃的主要观赏季节———春季进行航拍。遵循林外景观照片拍摄的基本原则,拍摄前提前查看天气情况,选择能见度高、晴朗少云的日子。避免拍摄到天空、道路、人等非林分景观要素;无人机拍摄,保证所有的参数不变且拍摄时间在9:00-12:00之间。选择最佳的3个观赏点,对不同方向拍照,从中选取具有代表性的照片作为试验素材,每张照片为1个处理,重复3次。评价者一共100人,由来自中南林业科技大学林学院专业学生、其他不同学科的非专业学生和已就业的社会人士组成。
2.3评判过程
采用网上问卷星的评价方法进行评判。设计网络评价问卷时,所有照片的原始尺寸相同;问卷设定相同的播放时长;添加问卷目的和问卷注意事项的说明;回收问卷后剔除不合格的问卷。评分制度采用七分制,分别为很喜欢(7分)、喜欢(6分)、较喜欢(5分)、一般(4分)、不太喜欢(3分)、不喜欢(2分)、很不喜欢(1分)7个等级。分值越高表明喜爱度越高,分值越低则表明喜爱度越低[5]。
2.4色彩斑块的选取方式
本次研究的照片都选自杜鹃林的春季景观,排除含有非森林景观因素的照片,利用Photoshop软件勾画景观照片中的色彩斑块,将照片中的景观要素分为三类色彩斑块,分别是代表未开花的杜鹃和部分绿色阔叶树种的绿色斑块、代表杜鹃的红色斑块、代表裸地和石头的灰色斑块。然后用Arcgis10.7软件重分类处理过的色彩斑块,最后用FRAGSTAT软件导出景观照片中的色彩斑块指数并进行分析。
根据风景林景观特征及研究结果,选用以下景观指数进行分析,斑块密度(PD)、斑块数量(NP)、最大斑块指数(LPI)、景观分割指数(DIVISION)、有效网格大小指数(MESH)、景观形状指数(LSI)、周长面积分维(PAFRAC)、相似临近百分比(PLADJ)、香农均匀度指数(SHEI)、Simpson多样性(SIDI)、蔓延度(CONTAG)、分离度指数(SPLIT)、斑块凝集度指数(COHESION)、聚集指数(AI)、香农多样性指数(SHDI)、Simpson均匀度指数(SIEI)[6]。
2.5试验方案变量选取及方案设计


2.5.1灰绿色斑块面积变化设计。主色彩斑块面积不变的前提下,减少灰绿色斑块的面积比,斑块位置和形状均随机。试验变量梯度参考李苹[7]研究中的比例,绿色斑块面积与灰色斑块面积之比:全绿、3∶1、1∶1、1∶3。
2.5.2色彩斑块面积变化设计。本次试验的试验变量为斑块聚集程度、主色彩斑块面积、最大主色彩斑块面积3个要素。设置不同梯度,运用Photoshop软件做出效果图。主色彩斑块的总面积分别占整个视域面积的1/4、1/2、3/4个梯度;斑块聚集程度设置3个水平:高度聚集、现状、低度聚集;最大主色彩斑块面积为:1/2现状、现状、2现状;试验设三因素[8]。
3数据处理方式
3.1美景度值计算
景观特征和评价者的自然审美都会影响评价结果,因此要将评价者对每张照片的评分值进行标准化处理后得到样地的SBE值[9],其公式为:式中,Zij为第j个调查对象对第i个景观的标准化得分值;Rij为第j个调查对象对第i个景观的打分值;Rj为第j个观察者所有打分值的平均值;Sj为第j个调查对象所有打分值的标准差。Si为第i个景观的最终SBE得分;Ni为参与第i个景观评价的人员数量。
3.2美景度等级划分


采用章志都[10]的等差法,分成5个等级,第一等级最好,第二等级较好,依此类推。计算公式见表2。
3.3主成分分析
主成分分析法是将原始多个变量通过线性组合提取出几个重要的相互独立新变量的一种多元统计方法,第一主成分方差最大,其他成分逐渐递减,主成分分析在对群体进行分类的同时,还可以通过主成分的构成解释性状变量在主成分中的重要程度,主要用于综合评价群体[11]。
3.4相关性分析
相关系数的绝对值越大表明两变量间的线性相关程度越高。计算公式为:用SPSS18.0软件进行相关性分析,
Pearson相关系数来衡量两变量间的相关性强弱[12]。
3.5差异显著性分析
利用Excel2018整理计算数据,接着用SPSS18.0软件对景观格局指数和美景度、色彩斑块变化和景观格局指数进行方差分析,最后用Origin软件进行制图。
4结果与分析
4.1景观色彩斑块指数的筛选


用主成分分析法提取杜鹃林色彩斑块要素中的主要景观指数。根据特征值>1和累计贡献率>90%筛选出3个主成分,同时选取载荷矩阵系数绝对值>0.7的指标作为主要景观指数(表3)。结果表明,色彩斑块累计解释92.778%的变化。其中第1主成分包含:LPI、CONTAG、MESH、DIVISION、SPLIT、SHDI、SIDI、SHEI、SIEI指数,反映了色彩斑块大小、均匀度、异质性特征,因此F1定义为色彩斑块质量指数;第2主成分提取了NP、PD、LSI、PAFRAC指数,反映了景观斑块数量、密度、形状特征,因此F2定义为景观斑块性状指数;第3主成分提取了PLADJ、AI指数,反映了景观同类斑块间的相邻百分比、聚集度特征,因此F3定义为景观格局分布指数。
4.2景观格局指数与美景度的关系

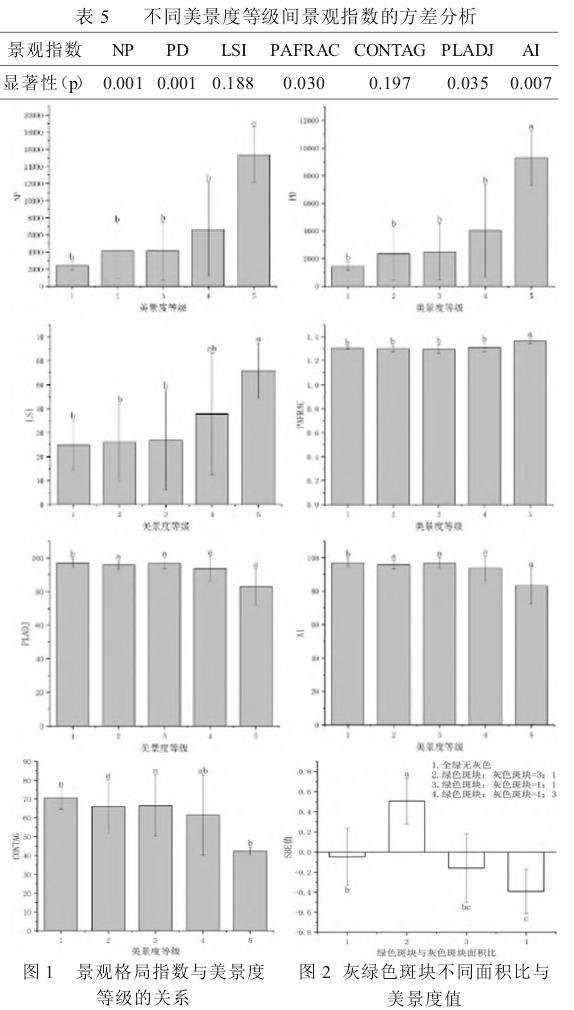
4.2.1景观格局指数与美景度的相关性分析。通过将所筛选出的杜鹃林林外景观格局指数与美景度等级进行相关性分析后得出,NP、PD、LSI、PAFRAC、CON-TAG、PLADJ、AI这7个斑块指数与美景度具有显著相关性,其中NP、PD、AI斑块指数与美景度存在极显著相关性(表4)。
NP、PD、LSI、PAFRAC与美景度等级属于负相关性;CONTAG、PLADJ、AI与美景度等级属于正相关性。根据Pearson相关系数绝对值,杜鹃林林外美景度景观格局影响大小为:PD>NP>AI>PLADJ>LSI>PAFRAC>CONTAG。后续的数据分析中会将NP、PD、LSI、PAFRAC、CONTAG、PLADJ、AI这7个景观斑块指数进行研究分析。
NP、PD、LSI、PAFRAC与美景度等级属于负相关性;CONTAG、PLADJ、AI与美景度等级属于正相关性。根据Pearson相关系数绝对值,杜鹃林林外美景度景观格局影响大小为:PD>NP>AI>PLADJ>LSI>PAFRAC>CONTAG。后续的数据分析中会将NP、PD、LSI、PAFRAC、CONTAG、PLADJ、AI这7个景观斑块指数进行研究分析。
4.2.2景观格局指数与美景度差异显著性分析。将NP、PD、LSI、PAFRAC、CONTAG、PLADJ、AI指数与美景度等级进行差异显著性分析,其中斑块数量(NP)(p=0.001)、斑块密度(PD)(p=0.001)、聚集指数(AI)(p=0.007)与美景度等级呈极显著差异;相似临近百分比指数(PLADJ)(p=0.035)、平均周长面积分维指数(PAFRAC)(p=0.030)与美景度等级呈显著差异。随着美景度等级的降低,斑块数量(NP)、斑块密度(PD)、景观形状指标(LSI)不断增大,在等级一时均为最小。周长面积分维指数(PAFRAC)、相似临近百分比(PLADJ)、聚集指数(AI)的变化趋势相较平缓,周长面积分维指数(PAFRAC)在等级五时略大一些,相似临近百分比(PLADJ)和聚集指数(AI)在等级五时最小。蔓延度(CONTAG)随美景度等级的降低逐渐下降,在等级一时最高。
4.2.3色彩斑块面积变化与美景度的关系。
(1)灰绿色斑块面积变化对美景度的影响。灰绿色斑块梯度设计比值对杜鹃春景林的景观质量有极显著影响(p<0.01)。根据3处样地景观PS的效果图美景度值得出,绿色斑块面积增加,灰色斑块面积减少,杜鹃林美景度呈现先增加后减少趋势,并在梯度设置3∶1时美景度值最大,1∶3时美景度值最小。主色彩斑块面积不变,绿色斑块面积增加,灰色斑块面积减少,风景林的景观质量会逐渐提升。但如果景观中的灰色斑块面积过大或灰色面积不足,就会降低风景林的景观质量。所以配置杜鹃林景观植物时,在杜鹃数量和色彩发挥有限的情况下,可以适量增加低矮的常绿树种,使景观在视觉上更加丰富。


(2)主色彩斑块、斑块聚集和最大主斑块面积变化对美景度的影响。图3中A1、A2、A3分别代表主色彩斑块面积占整个视域面积的1/4、1/2、3/4;B1、B2、B3分别代表斑块聚集程度的低聚集、现状、高聚集;C1、C2、C3分别代表最大主色彩斑块占景观中最大主色彩斑块面积的1/2现状、现状、2现状。当主色彩斑块面积在1/4,斑块处于高聚集状态,最大主色彩斑块面积在2倍现状时,杜鹃林美景度最高,景观质量最好。斑块聚集程度(p=0.007)、主色彩斑块面积(p=0.002)对美景度存在显著影响,最大主色彩斑块面积(p=0.051)对美景度的影响不显著。这表明主色彩斑块面积减少、斑块聚集程度和最大主色彩斑块面积增加时,可以提高杜鹃林林外景观质量。


(3)色彩斑块变化对景观斑块指数的影响。试验设计因素中主色彩斑块面积(A)、斑块聚集程度(B)和最大主色彩斑块面积(C)进行显著性方差分析得出,NP、PD、LPI、LSI、PLADJ、AI与主色彩斑块面积有显著影响;AI与斑块聚集程度有显著影响;最大主色彩斑块面积变化对景观指数无显著影响。
随着主色彩斑块面积的增大,NP、PD、LSI、LPI指数不断增加,PLADJ、AI景观指数不断减少。NP、PD、LSI、LPI指数对美景度负相关性,PLADJ、AI指数对美景度正相关性。主色彩斑块面积增大,美景度逐渐降低,当主色彩斑块面积处于1/4时,杜鹃林的美景度值最高,景观质量最佳。随着斑块聚集程度的增大,
AI指数逐渐增加。AI指数反映不同景观类型斑块间的连通性,AI值越小,景观斑块越离散。AI指数与美景度呈现正相关性,表明随着斑块聚集程度的增大,杜鹃林景观质量有上升趋势。


(4)杜鹃林春季景观质量评价模型构建。将NP、PD、LSI、PAFRAC、CONTAG、PLADJ、AI指数进行主成分分析。根据特征值>1和累计贡献率>90%筛选出2个主成分,分别记作F1、F2,同时载荷矩阵系数绝对值>0.7。主成分结果表明,累计贡献率达到92.020%。其中第1主成分提取了NP、PD、LSI、PAFRAC、CONTAG指数,这5个指标反映了景观斑块的密度、形状和团聚程度,因此F1定义为景观斑块性状指数;第2主成分提取了PLADJ、AI指数,这2个指标反映了景观同类斑块间的相邻百分比、聚集度特征,因此F2定义为景观格局分布指数。后续研究中,这2个主成分分析指数公式可以作为评估相关风景林景观质量评价。
5结论与讨论
5.1讨论
5.1.1景观格局指数对景观质量的影响。通过主成分分析出15个主要景观指数,并对其与美景度不同等级进行相关性分析后得到NP、PD、LSI、PAFRAC、CON-TAG、PLADJ、AI7个指数。其中NP、PD指数反映的是景观的空间格局,值越大,景观破碎越高,对于杜鹃林林外景观,美景度较高的景观其斑块数量和斑块密度相对较低[9]。AI指数反映的是不同景观类型斑块间的连通性,其值越小,景观斑块越离散[13]。色彩斑块越分散,连通性越低,不利于林外景观美景度的提高。PLADJ指数反映的是景观斑块的自然连接程度,有研究表明PLADJ与AI指数之间具有显著相关性[14]。

CONTAG指数反映的是景观中斑块类型的团聚程度和延展趋势,其值越大表明景观中的优势斑块类型形成了良好的连接,与NP呈负相关性[15]。因此,CONTAG指数越大,美景度等级越高。这一结果表明,斑块破碎化程度较低、连通性较高的景观美景度越高,可能是因为杜鹃林中杜鹃红色斑块作为主要的色彩斑块,视觉连续性越强,越能呈现比较均匀的红色斑块,深受人们喜爱[16]。

CONTAG指数反映的是景观中斑块类型的团聚程度和延展趋势,其值越大表明景观中的优势斑块类型形成了良好的连接,与NP呈负相关性[15]。因此,CONTAG指数越大,美景度等级越高。这一结果表明,斑块破碎化程度较低、连通性较高的景观美景度越高,可能是因为杜鹃林中杜鹃红色斑块作为主要的色彩斑块,视觉连续性越强,越能呈现比较均匀的红色斑块,深受人们喜爱[16]。
景观形状指数(LSI)反映的是色彩斑块形状的复杂性,值越大,斑块形状复杂性越高[17]。研究表明,LSI指数随美景度等级的降低呈现先下降后升高的趋势。这与崔义等[12]的结论一致。周长面积分维指数(PAFRAC)反映不同空间尺度斑块的复杂性。在视域范围内,斑块数量的减少会导致斑块形状变得有规律,
斑块越简单,会使人们的心情变得平静、安稳,提高景观的美景度。
5.1.2色彩斑块变化对景观质量的影响。试验设计中色彩斑块的位置、大小、配置等发生变化时,其杜鹃林的林外景观质量也会随之发生改变。因素一是在主色彩斑块不变的情况下,改变绿色和灰色斑块的面积比;因素二研究对象是以杜鹃形成的红色斑块为主色彩斑块,改变红色斑块的总面积;因素三、四是主色彩斑块的聚集程度以及最大主色彩斑块面积的变化。这4个试验因素均会引起杜鹃林林外景观质量的变化,跟已有的研究结果相同[7]。这也说明了林外景观质量中色彩是其重要的影响因素。
试验设计中灰绿色斑块面积发生改变时,绿色斑块面积增大,美景度值随之增加,说明绿色斑块可以放松人们的心情,使人们感到愉悦[18]。但当绿色斑块面积过大、灰色斑块面积过小或没有时,美景度值则会下降。因为适当的灰色斑块可以平衡景观色彩,不致于使景观效果千篇一律和毫无变化。
主色彩斑块面积和斑块聚集程度改变,斑块破碎度和斑块聚集程度发生变化,其破碎化程度越高,色彩斑块越分散,杜鹃林的景观质量下降;聚集程度高,连通性强,杜鹃林景观质量上升。这与已有的研究结果不一致[7],可能是杜鹃作为主色彩(红色)斑块本身较分散,视觉连续性较弱,不能立刻吸引人们的视线,进而降低人们的喜好程度,且杜鹃林景观样地中的斑块密度与斑块数量的最小值都远高于黄栌样地数值,所以导致其结论不一致。最大主色彩斑块面积增大,人们第一眼便会被杜鹃花形成的团聚状吸引,进而提升喜爱度。因为杜鹃形成的斑块较分散,形成的最大主色彩斑块面积也不大,所以并不会让人们觉得色彩单一,
降低景观质量。
5.2结论
5.2.1景观格局指数与美景度的关系。通过主成分分析筛选出15个主要景观指数后,将它们与美景度等级进行相关分析后得出,NP、PD、LSI、PAFRAC、CON-TAG、PLADJ、AI这7个斑块指数与美景度等级有显著相关性,NP、PD、AI斑块指数与美景度等级呈极显著相关;LSI、PAFRAC、CONTAG、PLADJ指数与美景度等级呈显著相关。其中NP、PD、LSI、PAFRAC指数与美景度等级呈负相关性,CONTAG、PLADJ和AI指数与美景度等级呈正相关性。杜鹃林林外美景度景观格局影响大小为:PD>NP>AI>PLADJ>LSI>PAFRAC>CONTAG。
5.2.2色彩斑块变化与美景度的关系。改变灰绿色斑块面积比例会使景观质量发生变化,绿色斑块面积增大,灰色斑块面积减小,杜鹃林的景观质量呈现先增后减的趋势。面积比在3∶1梯度时,杜鹃林的景观质量最佳。主色彩斑块面积(p<0.001)和斑块聚集程度(p=0.008)对景观质量有显著影响,主色彩斑块面积增大,杜鹃林的景观质量呈现逐渐下降的趋势,在试验设计梯度1/4时,杜鹃林景观质量最高;随着斑块聚集程度的增大,杜鹃林的景观质量逐渐上升。最大主色彩斑块(p=0.054)对景观质量没有显著影响,但在试验设计梯度内2倍现状的基础上,美景度值最高。在试验设计要素中,影响杜鹃林景观美景度的强弱顺序为:主色彩斑块面积>斑块聚集程度>最大主色彩斑块面积。
5.2.3色彩斑块变化与景观指数的关系。主色彩斑块面积变化对NP、PD、LPI、LSI、PLADJ、AI景观指数产生显著影响。主色彩斑块面积的增大会带动NP、PD、LPI、LSI指数的增大,PLADJ、AI指数会减小,但随着主色彩斑块面积的不断增加,景观美景度逐渐下降;斑块聚集程度对AI有显著影响,斑块聚集程度的增大,AI指数不断增加,景观质量呈现逐渐上升的趋势。
5.2.4景观质量综合指数构建。将NP、PD、LSI、PAFRAC、CONTAG、PLADJ、AI这7个具有显著相关性的指数主成分分析后得到2个主要成分:F1景观斑块性状指数、F2景观格局分布指数。F1=0.201NP+0.199PD+0.268LSI+0.258PAFRAC-0.225CONTAG,F2=0.518PLADJ+0.518AI。

 
  
