讨论
3.1重庆居住区乡土植物应用现状

无论采用何种定义,重庆乡土植物的应用都不乐观,无法满足国家和地方的相关标准和规范,乡土植物整体应用情况还有待提升。国家和重庆市颁布了一系列有关城市绿地建设的标准和规范,在这些标准和规范中乡土植物往往是要素之一(表4)。

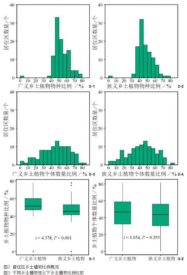
近几年,重庆市还颁布了针对居住区建设的《绿色生态住宅(绿色建筑)小区建设技术标准》(DBJ50T-039—2020),对乡土植物物种数和个体数量比例作了明确规定。整体上,这些标准和规范要求乡土植物物种比例或个体数量比例不能低于60%(表4)。然而,无论何种乡土植物定义下,本研究中大部分居住区乡土植物物种比例和个体数量比例均低于60%(图2)。


近几年,重庆市还颁布了针对居住区建设的《绿色生态住宅(绿色建筑)小区建设技术标准》(DBJ50T-039—2020),对乡土植物物种数和个体数量比例作了明确规定。整体上,这些标准和规范要求乡土植物物种比例或个体数量比例不能低于60%(表4)。然而,无论何种乡土植物定义下,本研究中大部分居住区乡土植物物种比例和个体数量比例均低于60%(图2)。

此外,在时间尺度上,乡土植物应用也没有得到显著提升(图4)。

老旧居住区和新居住区间的比较更是揭示了这一问题。无论何种乡土植物定义下,老旧居住区乡土植物物种比例均显著高于新居住区(图5-1、5-2),这主要是因为2000年后越来越多的外来植物涌向中国[30],与老旧居住区相比,新居住区中外来植物种类更加丰富(T检验,P<0.05),乡土植物物种比例低于老旧居住区。
此外,随着时间推移,由于对美学越来越高的需求[31],部分观赏性不高的乡土植物逐渐在居住区绿化中消失,观赏性较高的乡土植物则被保留,这也可能是新居住区乡土植物物种比例显著低于老旧居住区的另一原因。而老旧居住区和新居住区中乡土植物个体数量比例无显著差异(图5-3、5-4),这主要是因为《绿色生态住宅(绿色建筑)小区建设技术标准》等标准对乡土植物个体数量比例作了明确要求(表4),所以新居住区不得不选择增加乡土植物个体数量(但物种数量未得到增加)以应对各项标准和规范的要求,也因此,新居住区的乡土植物个体数量比例在外来植物的冲击下没有明显下降。

老旧居住区和新居住区间的比较更是揭示了这一问题。无论何种乡土植物定义下,老旧居住区乡土植物物种比例均显著高于新居住区(图5-1、5-2),这主要是因为2000年后越来越多的外来植物涌向中国[30],与老旧居住区相比,新居住区中外来植物种类更加丰富(T检验,P<0.05),乡土植物物种比例低于老旧居住区。
此外,随着时间推移,由于对美学越来越高的需求[31],部分观赏性不高的乡土植物逐渐在居住区绿化中消失,观赏性较高的乡土植物则被保留,这也可能是新居住区乡土植物物种比例显著低于老旧居住区的另一原因。而老旧居住区和新居住区中乡土植物个体数量比例无显著差异(图5-3、5-4),这主要是因为《绿色生态住宅(绿色建筑)小区建设技术标准》等标准对乡土植物个体数量比例作了明确要求(表4),所以新居住区不得不选择增加乡土植物个体数量(但物种数量未得到增加)以应对各项标准和规范的要求,也因此,新居住区的乡土植物个体数量比例在外来植物的冲击下没有明显下降。
综上,虽然各项标准和规范的颁布使得乡土植物受到一定重视,然而在外来植物流行的趋势下,乡土植物的应用还是受到许多限制。为了应对政策要求,居住区选择增加乡土植物个体数量而不增加乡土植物物种数量,更是表明随着时间推移,应用于园林绿化的乡土植物物种库并没有得到太多扩展。
3.2关于广义乡土植物的抉择
鉴于居住区乡土植物比例亟待提升、乡土植物物种库急需扩展的现状,有原则地接纳长期引种植物不失为一个合适的选择。本研究通过梳理目前流行的乡土植物定义发现“适应性”是这些乡土植物定义最重要的关注点(表1),从园林植物应用角度出发,乡土植物定义也强调植物对环境的适应性。而纳入广义乡土植物范畴的长期引种植物,虽然种类少,但应用广适应性强,民众接受度高(表3)。因此在园林绿化领域,狭义乡土植物是乡土植物的主要组成,长期引种植物则可以作为乡土植物的次要组成[32]。
本研究中长期引种植物指通过长期引种、栽培(16世纪前),已经适应当地环境,并能完成生活史的植物。将之作为乡土植物的原因如下:引入时间足够长的植物不仅融入了本地生态系统,还融入了当地人的生活,且观赏性较高,是长期以来园林绿化中的常见物种,甚至部分植物在当地还具有特殊意义[20]。以石榴为例,其原产巴尔干半岛至伊朗及其邻近地区,但是自张骞出使西域,石榴传入中国已经有2000余年的历史[33],栽培和利用历史源远流长,因此可以将之作为乡土植物。而排除16世纪之后的引入植物是因为从15世纪末起,欧洲航海殖民活动极大提升了全球物种交换速度[34-36]。
在这之前,物种传播范围有限,多属于小尺度的流动和交换。因此,国外普遍将受到欧洲航海殖民活动影响的时间作为区分外来植物的时间节点[25],如捷克[37]、澳大利亚[38]、夏威夷[39]及其他太平洋岛屿[40-41]。我国植物引种也受到欧洲航海殖民活动的影响,外来植物中有52%的物种来自美洲,14%的物种来自欧洲[42]。早在16世纪,欧洲航海和殖民活动就开始影响中国的植物引种[26],18和19世纪,更是形成了全球植物贸易网络[43],导致流入中国的外来植物多而繁杂。由于引入时间不长,引入植物的生态适应性和安全性没有经过时间的检验,不宜将这些植物归属为乡土植物。
在这之前,物种传播范围有限,多属于小尺度的流动和交换。因此,国外普遍将受到欧洲航海殖民活动影响的时间作为区分外来植物的时间节点[25],如捷克[37]、澳大利亚[38]、夏威夷[39]及其他太平洋岛屿[40-41]。我国植物引种也受到欧洲航海殖民活动的影响,外来植物中有52%的物种来自美洲,14%的物种来自欧洲[42]。早在16世纪,欧洲航海和殖民活动就开始影响中国的植物引种[26],18和19世纪,更是形成了全球植物贸易网络[43],导致流入中国的外来植物多而繁杂。由于引入时间不长,引入植物的生态适应性和安全性没有经过时间的检验,不宜将这些植物归属为乡土植物。
3.3居住区乡土植物应用建议
居住区乡土植物应用受限的主要原因有:1)目前乡土植物定义繁杂,相关标准虽对乡土植物应用提出了要求,但缺乏明确的乡土植物界定标准和科学的区域乡土植物数据库[19];2)园林绿化行业中可利用的乡土植物物种库较小,苗木市场缺少乡土植物供应,苗木种类单一,限制了园林绿化从业人员对乡土植物的选择[32];3)部分乡土植物观赏性较低,不满足市场需求;4)园林绿化从业人员习惯于借鉴现有的园林植物搭配模式,缺少对新的乡土植物的开拓,使苗木市场缺乏开发新的乡土植物的动力[44]。
基于以上原因,促进居住区乡土植物应用需要整个园林绿化行业的支持。在行业标准制定方面,应提出明确的乡土植物界定标准,并同步发布乡土植物应用名录;在扩大乡土植物物种库方面,园林绿化行业应对乡土植物苗木生产进行统一规划[45],从城市周边地区的自然植被中筛选观赏性较高且适合城市生境的树木进行培养驯化[46],并有原则地接纳长期引种植物,以扩展和丰富园林绿化行业的乡土植物物种库;在市场调控方面,在绿地规划、施工过程中,严格选用具地区特色的乡土植物,以市场需求带动苗圃的积极性,形成具地区特色的乡土植物产业链[47];在乡土植物具体应用方面,需在不同绿地类型下,根据不同乡土植物的特点选择并应用[48]。此外,建立区域绿化树种资源信息系统,链接苗木资源与市场需求对城市绿化中乡土植物资源的丰富及利用现状的改善也是非常重要的[49]。
注:文中图片均由作者绘制。