长江下游平原土壤阳离子交换量(CEC)与交换性盐基离子分布预测研究
摘要:作为衡量土壤养分有效性的一个关键土壤特性,阳离子交换量(CEC)在土壤分析的成果中往往不尽如人意,要么数据缺失,要么因不同测定方法而结果各异。因此,构建一种基于土壤其他性质来预估CEC的模型变得尤为关键。选择长江下游安徽段沿江平原圩区,通过以研究区的各种土壤属性变量与阳离子交换性能之间的相关性、变量自身的空间结构特性等为依据,建立关于研究区域的土壤阳离子交换性能数据分析模型,利用SOC、质地、围垦历史和土地利用等因子,预测土壤阳离子交换性能,可以得到较为满意的结果。
研究区内土壤CEC含量普遍较高,尤其以长江沿岸最为显著,呈现自上游向下游递增的趋势。此外,交换性盐基离子的空间分布特征也各不相同,其中Ca2+和Mg2+含量在长江沿岸逐渐减少,而K+含量则呈现相反趋势。TEB含量在长江沿岸附近较高,但整体分布较为均匀。盐基饱和度BS以高水平为主,长江沿岸呈现递减趋势。土壤阳离子交换性能预测不仅有助于深化对土壤属性的认识,而且还为区域土壤质量评价与农业管理提供了重要的科学依据,为长江下游生态地球化学调查工作提供有力补充。
关键词:长江下游;阳离子交换量;交换性盐基离子;空间预测;多元回归模型
土壤阳离子交换性能对于土壤基本特性以及肥力会产生显著的影响,有助于改善土壤肥力[1]。在土壤质量评价过程中,往往利用了土壤阳离子交换量CEC和交换性盐基离子(K+、Ca2+、Na+、Mg2+),通过其含量可以描述盐基类元素的生物有效性以及循环特征,并且在保持土壤养分等方面发挥了不可或缺的作用[2],也对作物生长发育产生了较大的影响[3]。但是在土壤分析结果中常常缺乏CEC数据,或是采用不同的测定方法进行分析。因此,有必要建立从土壤的其他性质预测CEC的方法。
本研究在长江下游沿江平原选择无为典型区,采集不同围垦年限和利用方式下的表层土壤样品,分析土壤理化性质对土壤阳离子交换性能分布特征的影响,在此基础上构建多元关联模型。在长江安徽段的沿江平原区,利用土壤属性数据,挑选重要因子进行模型拟合,预测区域内土壤阳离子交换性能空间分布,为区域内土壤资源的合理利用提供科学依据,为长江下游生态地球化学调查工作提供有力补充。
1 材料与方法
1.1 研究区概况
1.1.1 无为沿江平原典型区
研究区位于安徽省无为市南部的长江下游北岸(117°28′~118°21′E、30°56′~31°30′N),属于典型的亚热带季风气候区,光照充足、雨热同期,但雨量年际变幅大,旱涝频繁。年平均气温15.8℃,年平均降雨量1170.5mm,主要集中在4-8月。区内地势平坦,成土母质为长江河流冲积物,土壤类型为潮土和经人为培育而形成的水稻土。区内旱地耕作制度主要为油菜、玉米和蔬菜轮作,水田则基本上为水稻和油菜/小麦轮作。
1.1.2 长江安徽段沿江平原
安徽沿江平原地区位于中国安徽省中南部,沿长江安徽河段两岸分布(115°52'~118°50'E、29°34'~31°53'N),是长江中下游平原的组成部分,行政范围涉及安庆市、池州市、铜陵市、合肥市、芜湖市和马鞍山市。长江安徽段沿江平原由河漫滩和阶地组成,地势低平,气候类型为亚热带季风气候。区域内农业植被占据显著面积,其中灰潮土和水稻土是主导土壤类型。由于自然条件优越,安徽沿江平原为省内农业生产水平最高之处,全省稻米历来大部分皆出于此处,该地已成为安徽省重要的粮、棉、油产区和商品茶基地。
1.2 多元逐步回归模型
多元逐步回归模型(Multipleregressionstepwisemodel)是一种有效建立多元线性回归模型的方法,其采用逐步搜索的方法来选择有效的解释变量,以构建最优的多元线性回归模型。它可以消除由于多重共线性而导致的解释变量选择问题,使得模型更加简洁,更具有解释性多元线性回归分析的延伸,具有双向筛选的优势。早在1942年,Williams和Kelly就已利用多元回归方法,建立了土壤SOC、黏粒含量与CEC的关联模型,为理解这三者之间的相互作用提供了重要依据。Martel[4]进一步深入探讨了影响美国11种潜育土CEC的理化因素,研究结果表明,土壤的SOC和黏粒含量与CEC之间存在极显著的正相关关系,这一发现进一步巩固了SOC和黏粒含量作为决定土壤CEC含量的主导因素地位。基于Martel的研究基础,多元回归(MR)方法逐渐在不同土壤参数下CEC估算中得到广泛应用。Kashi等[5]在伊朗Semnan省Ghoshe地区的土壤研究中,利用土壤的容重、土壤质地、电导率、石灰百分比和钠吸附比等参数,通过MR模型预测CEC,并取得了较高的准确性(R2=0.77;MAE=1.85)。Ghorbani等[6]在伊朗Golestan省的研究中,同样运用MR模型,结合土壤pH值、土壤有机碳和土壤质地等参数,成功预测了土壤CEC(R2=0.78;MAE=1.64)。Olorunfemi等[7]得出基于pH值、黏土含量和有机碳的MR模型,是预测尼日利亚森林土壤CEC的最佳模型(R2=0.71;MAE=1.16)。
1.3 样品采集与分析测试
在不同利用历史的圩区布置无为沿江平原典型区采样点(见图1)。其中最外侧江堤外的河漫滩上采集的沉积物样品代表土壤母质,其余均为表层土壤样品。利用五点法采集表层(0~20cm)散状土土壤,选取光滩(10个)、草地(10个)、林地(22个)、旱地(25个)、水旱轮作地(20个)5种主要利用方式为试验处理,各区每种土地利用土壤至少重复5次,共采集样品87个。
通过在研究区进行的生态地球化学调查工作获得长江安徽段沿江平原的土壤属性数据,采用网格采样法,以1km×1km作为1个采样网格,共计获得安徽省沿江平原表层混合土壤样品4222件。本研究筛选了其中母质为河流沉积物的复合样品数据,共1121组。
本研究中,土壤样品的测定主要遵循《土壤农业化学分析方法》[8]的指导原则。分析指标包括土壤常量元素、pH值、有机碳、无机碳、阳离子交换量、交换性盐基离子,其中,采用X射线荧光光谱法(XRF)测定土壤常量元素含量。在土液比2.5∶1的条件下采用电位法测定土壤pH值,采用比重计-沉降法测定土壤质地,选择高温外热氧化-亚铁滴定法测定土壤有机碳(SOC)。采用三氯化六氨合钴浸提-分光光度法(HJ889-2017),测定土壤阳离子交换量(CEC),采用乙酸铵交换—电感耦合等离子光谱法(ICP),测定土壤交换性盐基离子K+、Na+、Ca2+和Mg2+的含量。
交换性盐基总量TEB及盐基饱和度BS按以下公式计算:
TEB=1/2Ca2++1/2Mg2++K++Na+BS(%)=TEB/CEC×100
上述公式中,TEB(cmol/kg)为交换性盐基总量,其值为交换性Ca2+、K+、Mg2+、Na+的质量摩尔浓度之和。
2 结果与分析
2.1 土壤基本理化性质及阳离子交换性能分布特征
由表1可知,长江安徽段沿江平原研究区全部表现为弱变异性,无为典型区pH值、Al2O3和SiO2表现为弱变异性,其余属性的变异系数变化范围为22.6%~103.1%,均表现为中等及高等强度变异。无为典型区pH值变幅为5.4~8.4,安徽段pH值变幅为4.2~8.6,以偏碱性土壤为主,只有少部分土壤呈酸性。无为土壤黏粒、粉粒和砂粒含量平均值分别为24.3%、40.0%和35.7%。按照国际土壤质地分类标准,主要为粉黏土、壤黏土和黏壤土。
由表2可知,研究区交换性盐基离子平均含量由高至低的顺序为Ca2+>Mg2+>K+>Na+,4种离子分别占盐基总量的66.6%、16.6%、10.8%和6.0%。TEB、CEC和BS的平均值分别为5.79cmol/kg、15.2cmol/kg和46.2%。对比安徽省和我国南方地方主要类型土壤的阳离子交换性能[7,20],研究区TEB、CEC和BS均处于较高水平,与同类型土壤水平相当。
2.2 土壤阳离子交换性能与部分土壤理化指标的相关性
由表3可知,pH值、质地和SOC含量与土壤阳离子交换性能各指标间往往有显著的相关性。其中,Ca2+与pH值、粉粒含量为极显著正相关,与砂粒含量为负相关。Mg2+与黏粒、粉粒及SOC含量都是极显著正相关,与砂粒含量间为极显著负相关。K+与黏粒和SOC含量呈极显著正相关,与pH值、砂粒呈极显著负相关。交换性Na+则未表现出与上述理化指标间的显著相关性。
TEB与pH值、粉粒、黏粒和SOC之间为极显著正相关,与砂粒为极显著负相关。CEC与黏粒、粉粒和SOC都呈极显著正相关,与砂粒和pH值为极显著负相关。BS则与pH值、砂粒呈极显著正相关,与黏粒、粉粒和SOC为极显著负相关。由此可见,土壤pH值、SOC含量和质地状况均在很大程度上决定土壤阳离子的交换性能。
2.3 研究区土壤属性的自相关与交互相关分析
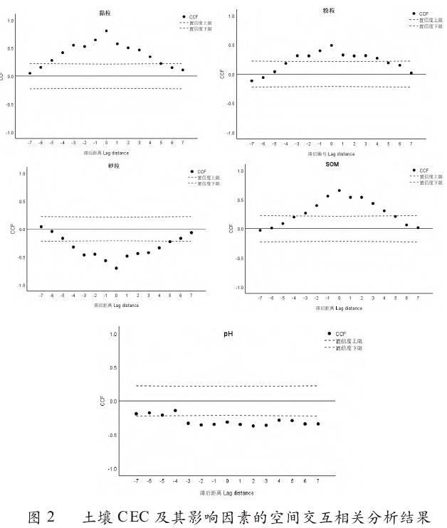
土壤的空间分布特征是由多种控制因子综合作用的结果,如地形、气候、母质、植被和时间等。这些控制因子之间存在的复杂相互关系,可能会引起多重共线性问题,降低统计分析的准确性[9]。因此,在构建空间预测模型之前,明确土壤阳离子交换能力与各控制因子的相关性至关重要。本研究采用自相关和交互相关分析土壤阳离子交换性能和土壤基本理化性质,土壤CEC、Ca2+、Mg2+、K+、Na+、TEB、BS分别在滞后距离1~5和11~15、1~8和11~16、1~3、1~16、1~2、1~4、1~16m上,自相关系数大于95%置信水平下的临界值;土壤SOC、pH值、黏粒、粉粒、砂粒分别在滞后距离1~3、1~11和16、1~5和11~15、1~3、1~4m上,自相关系数大于95%置信水平下的临界值,说明数据均具有显著自相关性。
相较于传统的Pearson相关性分析,交互相关分析能够更为细致地揭示不同变量在不同空间滞后距离下的关联性[10-11]。由图2可知,不同土壤属性在不同滞后距离下具有不同的空间相关性,且不同方向上交互相关关系也存在差异。土壤SOC和粉粒在滞后距离-3~4m时存在交互正相关,滞后距离较小。土壤黏粒在滞后距离-5~4m时存在交互正相关,滞后距离同样较小,指出了在较短滞后距离下它们的正相关关系。而pH值、SOC、黏粒、粉粒和砂粒在其他滞后距离区间内未展现出明显的交互相关性,这种现象可能与研究区域内采样点相对分散、空间距离较大有关,从而影响了它们之间的空间相关度。
2.4 研究区土壤阳离子交换属性模型分析
2.4.1 研究区土壤属性代替表达
土壤质地可以作为模拟和预测CEC的关键属性。与此同时,黏粒和易分解有机质被认为是导致土壤CEC变化的最重要的组成部分,相结合将有助于提高模型拟合精度[12-13],然而,长江安徽段沿江平原土壤质地(黏粒、砂粒、粉粒)数据的缺乏,为区域阳离子交换性能预测带来挑战。黏粒一般由硅铝酸盐矿物在地球表面风化后形成,主要成分是Al2O3和SiO2[14-15]。
砂粒主要由石英颗粒构成,其显著特点是通透性强,通常含有约30%的SiO2。与砂粒不同,粉粒的通透性较弱,但毛管性能明显,通常含有60%~80%的SiO2。在无为典型研究区,黏粒、粉粒、砂粒与Al2O3和SiO2的强相关性可以由线性关系得到证明(见图3)。因此,在长江安徽段沿江平原,可由土壤Al2O3和SiO2指标代替土壤质地进行表达。
2.4.2 长江安徽段沿江平原土壤阳离子交换性能回归分析
对土壤pH值、土壤有机碳SOC、土壤氧化铝Al2O3、土壤氧化硅SiO2等土壤理化性质指标,分别与阳离子交换量CEC、盐基总量TEB、盐基饱和度BS及交换性盐基离子(Ca2+、Mg2+、K+、Na+)进行了逐步回归分析。其方法是将变量依次引入回归方程中,通过引入显著性检验的解释变量,剔除不显著的变量。当P<0.05时,回归模型成立,判定系数R2越接近1,显著性检验值F越大。由表4可知,CEC、TEB和BS均能由Al2O3、SiO2、SOC和pH值等较好地表达。
2.5 长江下游安徽段沿江平原土壤预测制图
根据土壤属性与阳离子交换性能的相关性分析,对土壤阳离子交换量、盐基离子、盐基总量和盐基饱和度等空间分布进行模型拟合,长江安徽段沿江平原区样点数共1121组,其中无效数据组28组,为方便统计分析,将无效组赋值为0,得出土壤阳离子交换性能的空间分布预测图。由图4可知,阳离子交换量CEC含量1.42~25.08cmol/kg,预测结果在10~15cmol/kg的样点数410个,在15cmol/kg以上的样点数92个,44.7%土壤保肥性表现良好及以上。由此可见,长江沿岸CEC含量从上游到下游呈现增大趋势,距离长江及支流位置近的样点CEC含量较低,随着距离增加,CEC含量呈现增大趋势。盐基饱和度BS含量18%~97%,预测结果在50%以上的样点数734个,区域超65%样点土壤矿质养分含量表现理想。长江沿岸距离长江及支流位置近的样点BS较高,随着距离增加,BS显著减少。
由图5可知,交换性盐基离子Ca2+含量为0.52~11.88cmol/kg,交换性盐基离子Mg2+含量为0.05~3.20cmol/kg,长江沿岸交换性盐基离子Ca2+、Mg2+含量从上游到下游均呈现减少趋势,距离长江及支流位置近的样点Ca2+和Mg2+含量较高,Ca2+和Mg2+是盐基总量TEB的主要贡献成分,TEB空间分布规律基本与钙镁离子一致,随着距离增加呈现减少趋势。与其他指标相反,交换性盐基离子K+含量为0.10~1.39cmol/kg,从上游到下游呈现增大趋势,距离长江及支流位置近的样点K+含量较低,随着距离增加,K+含量呈现增大趋势。
3 结论与讨论
在土壤质量研究方面,土壤阳离子交换性能是土壤吸收性能的重要指标,关系到土壤中养分的保存和供应。国内外大量研究表明,影响土壤阳离子交换性能的主要因素是土壤有机质[16]、土壤质地和土壤矿物组成[17-18]。为全面考虑土壤理化性质对土壤阳离子交换量及盐基离子的综合影响,本研究在无为典型区进行阳离子交换性能相关性分析,并在此基础上在长江安徽段平原区建立了土壤属性指标间的回归分析模型,预测区域阳离子交换性能空间分布。
经过标准化处理和显著性检验,结果显示,CEC、TEB和BS均与质地、SOC和pH值等因素呈现强相关关系。此外,不同盐基离子与土壤理化性质之间的关系也各有特点,如Ca2+与pH值和粉粒相关,Mg2+与砂粒和pH值相关,而Na+则未能与所考察的土壤因子建立显著的回归关系。为解决长江安徽段沿江平原土壤质地数据缺失问题,本研究利用土壤质地与Al2O3和SiO2的强线性相关性,用土壤Al2O3和SiO2指标对土壤黏粒、粉粒和砂粒进行代替表达,进一步简化了土壤属性的分析过程,并有助于被运用预测制图。逐步回归分析显示,CEC、TEB和BS均可由土壤Al2O3、SiO2、SOC和pH值等指标较好地表达。其中,CEC受Al2O3、SiO2和SOC的共同影响;TEB则主要由SiO2决定;BS则与Al2O3、SiO2和SOC均存在显著关系。此外,交换性盐基离子Ca2+、Mg2+和K+也与这些土壤理化性质存在不同的关联模式,而Na+则未能与所考察的土壤因子建立显著的回归关系。
基于土壤理化性质的回归分析,本研究成功拟合了长江安徽段沿江平原土壤阳离子交换性能的空间分布模型,并绘制了相应的预测图。结果显示,安徽段沿江平原研究区内土壤CEC含量普遍较高,尤其以长江沿岸最为显著,呈现自上游向下游递增的趋势。相比之下,远离长江及支流的地区CEC含量则相对较低。
此外,交换性盐基离子的空间分布特征也各不相同,其中Ca2+和Mg2+含量在长江沿岸逐渐减少,而K+含量则呈现相反趋势。TEB含量在长江沿岸附近较高,但整体分布较为均匀。盐基饱和度BS以高水平为主,长江沿岸呈现递减趋势。长江安徽段平原区土壤阳离子交换性能预测不仅有助于深化对土壤属性的认识,还为区域土壤质量评价与农业管理提供了重要的科学依据,为长江下游生态地球化学调查工作提供了有力补充。
