21世纪风景园林各核心领域间的3个关系
2023-02-22
0
核心提示:风景园林各核心领域间的关系研究团队在北美风景园林教育协会认定的风景园林主题基础上对本研究362个样本进行归纳,并用德尔菲法
风景园林各核心领域间的关系
研究团队在北美风景园林教育协会认定的风景园林主题基础上对本研究362个样本进行归纳,并用德尔菲法与15名专家进行反复研讨,最终总结出了61个风景园林主题。

表5罗列出了其明细及样本出现的频次。

表5罗列出了其明细及样本出现的频次。
由于在定义21世纪风景园林技术概念时对每一个样本都进行了分析并归纳其所属于的核心领域与主题(表5),所以可以进一步分析得出不同核心领域之间相同主题的重复次数。利用该数据可描述主题与核心领域间的关系。

表6分析了风景园林核心领域间各个主题的重合率。

表6分析了风景园林核心领域间各个主题的重合率。
上述数据表明,“数字技术”与其他风景园林核心领域之间重合的主题高达80%,说明“数字技术”被高度应用于风景园林核心领域研究,并与其他核心领域存在高度的相关性。此外,其他任意2个核心领域间重叠的研究主题也在半数以上,反映出当下每个核心领域的研究范围高度重叠。

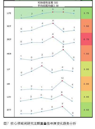
由于近5年来风景园林学科核心领域对数字技术的应用显著增加,故以2016—2021年的样本为例,计算每2个核心领域间重叠研究主题的变化程度,可发现核心领域间重叠性的变化趋势(图7)。
计算2013—2021年每2个风景园林核心领域间重叠研究主题数的切尾均值年变化(切尾均值通过排除数据集左、右尾的最高和最低数据点计算平均值)。图7模拟了每2个风景园林核心领域间重叠研究主题数的发展趋势,其中绿底趋势图代表2个领域重叠度在5年间持续增长。
结果表明,“风景园林生态规划”是当前风景园林的主要关注领域,它与其他5个领域的重叠度都比较高,与“风景园林教育”“可持续发展”“风景园林设计与施工”和“数字技术”的重叠度近5年都在持续增长。同时发现,21世纪风景园林数字技术和风景园林主题的设计研究都倾向于关注区域性和大型规划工作。
